How Much Is Granulated Sugar At Lidl

Les Meilleures Affaires Du Black Friday Pour Acheter Une Sodastream Wassersprudler Lidl Glasflaschen


Belbake Granulated Sugar At Lidl Uk Www Lidl Co Uk

Belbake Demarara Sugar At Lidl Uk Www Lidl Co Uk

Red Wine Cupcakes With Cream Cheese Frosting Recipe Quality Products Low Prices Lidl Us Red Wine Cupcake Wine Cupcakes Frosting Recipes

20 Min Pecan Chocolate Chip Cookies Lidl Chocolate Chip Pecan Cookies Recipes Chip Cookie Recipe

Recipes And Meals Quality Products Low Prices Lidl Us Balsamic Glaze Recipes Butternut Squash Pizza Recipes

Belbake Dark Brown Soft Sugar At Lidl Uk Www Lidl Co Uk

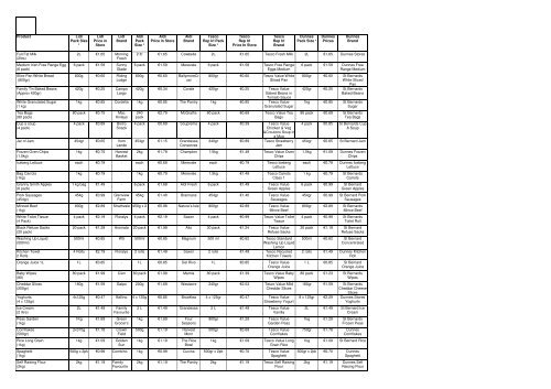
Product Lidl Pack Size Lidl Price In Store Lidl Brand Aldi Pack Size

Belbake Caster Sugar At Lidl Uk Www Lidl Co Uk

Belbake Fairtrade Light Brown Sugar Lidl Northern Www Lidl Ni Co Uk

Gelatelli Ice Cream Pots Feast Grocery Shop Lidl

I Ate Warm Lidl Chocolate Chip Cookie Chocolate Chip Cookies Warm Chocolate Food

All Butter Croissants Bakery Butter Croissant Baked Goods
Posting Komentar untuk "How Much Is Granulated Sugar At Lidl"